找回密码
 注册
查看: 2448|回复: 2

求助质量源项问题

[复制链接]
发表于 2012-6-10 10:35:25 | 显示全部楼层 |阅读模式

马上注册,结交更多好友,享用更多功能,让你轻松玩转社区。

您需要 登录 才可以下载或查看,没有账号?注册

x
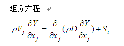
我做的是混合气体被膜选择吸收一种A气体,膜选择吸收气体A是跟膜两侧A气体的分压有关,膜透气体A的控制方程已知(分压力有关)。模型如图:
我的想法是通过源项来处理,
S是源项,单位好像是质量流量。看到帮助文档里面都是动量或是能量的。。想请教下组分输运方程里面这个质量源项UDF怎么调用。谢谢!
组分方程.png
模型.png
发表于 2012-6-10 11:08:19 | 显示全部楼层

回复 1# hihaoer 的帖子

可以加我QQ讨论: 1940298674
 楼主| 发表于 2012-6-10 12:37:08 | 显示全部楼层
您需要登录后才可以回帖 登录 | 注册

本版积分规则

快速回复 返回顶部 返回列表