Home
个人中心
广告服务
使用帮助
关于我们
登录
注册
用户名
Email
自动登录
找回密码
密码
登录
注册
搜索
本版
用户
首页
Portal
前沿
动态
人物
会议
工具
论坛
BBS
家园
Space
好友
帖子
收藏
道具
勋章
任务
淘帖
导读
设置
退出
流体中文网
»
论坛
›
软件学习
›
Fluent论坛
›
高压气体射流
返回列表
查看:
2410
|
回复:
6
高压气体射流
[复制链接]
fluentbs2012
fluentbs2012
当前离线
积分
510
IP卡
狗仔卡
发表于 2012-7-10 10:03:44
|
显示全部楼层
|
阅读模式
马上注册,结交更多好友,享用更多功能,让你轻松玩转社区。
您需要
登录
才可以下载或查看,没有账号?
注册
x
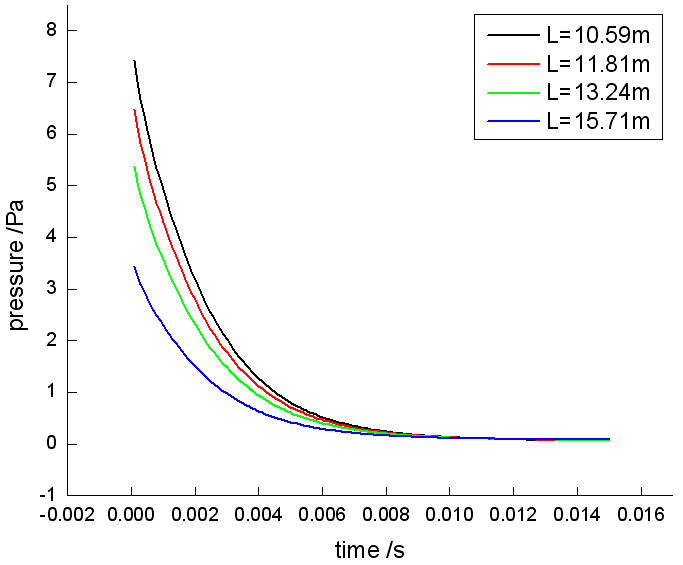
最近做一个高压气体向水中喷射,遇到一个很奇怪的问题,为什么刚一开始计算,流场中就有很大的压力,随着时间的推移,压力呈指数衰减?传上计算模型和压力曲线,请大家看看怎么回事,O(∩_∩)O谢谢
回复
使用道具
举报
提升卡
置顶卡
沉默卡
喧嚣卡
变色卡
显身卡
fluentbs2012
fluentbs2012
当前离线
积分
510
IP卡
狗仔卡
楼主
|
发表于 2012-7-10 10:05:11
|
显示全部楼层
压力
这是压力图
回复
支持
反对
使用道具
举报
显身卡
fluentbs2012
fluentbs2012
当前离线
积分
510
IP卡
狗仔卡
楼主
|
发表于 2012-7-10 11:42:26
|
显示全部楼层
回复 2# fluentbs2012 的帖子
怎么没人回复呢?大家都没遇到过这种问题吗
回复
支持
反对
使用道具
举报
显身卡
jian2012
jian2012
当前离线
积分
18
IP卡
狗仔卡
发表于 2012-7-10 12:06:08
|
显示全部楼层
楼主我做的是射流冲击呀,可以请教一下压力进口的问题吗?
回复
支持
反对
使用道具
举报
显身卡
fluentbs2012
fluentbs2012
当前离线
积分
510
IP卡
狗仔卡
楼主
|
发表于 2012-7-10 13:16:00
|
显示全部楼层
回复 4# jian2012 的帖子
留个qq:278155563
你做的是水射流?还是空气射流?
回复
支持
反对
使用道具
举报
显身卡
xrs333
xrs333
当前离线
积分
11024
IP卡
狗仔卡
发表于 2012-7-10 19:20:50
|
显示全部楼层
我觉得可以解释,水越来越少,气体与水的速度差越来越小。
回复
支持
反对
使用道具
举报
显身卡
fluentbs2012
fluentbs2012
当前离线
积分
510
IP卡
狗仔卡
楼主
|
发表于 2012-7-12 10:20:25
|
显示全部楼层
回复 6# xrs333 的帖子
我将上面模型中的固壁边界改为压力出口边界后后,计算结果显示测点处的压力开始很小,随后逐渐增大,也可以清晰的看出流场的压力云图(貌似冲击波),但是计算很慢,都算了快两天了。。。。。另外,网格是不是要求什么值小于多少,否则质量太差,会导致不收敛?
回复
支持
反对
使用道具
举报
显身卡
返回列表
高级模式
B
Color
Image
Link
Quote
Code
Smilies
您需要登录后才可以回帖
登录
|
注册
本版积分规则
发表回复
回帖后跳转到最后一页
快速回复
返回顶部
返回列表