找回密码
 注册
查看: 1459|回复: 1

自定义边界

[复制链接]
发表于 2009-9-18 09:11:01 | 显示全部楼层 |阅读模式

马上注册,结交更多好友,享用更多功能,让你轻松玩转社区。

您需要 登录 才可以下载或查看,没有账号?注册

x
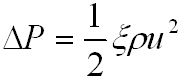
请问 边界自定义通常要用到fluent中哪些函数啊。我有这样一个情况:欲模拟一燃烧器,进气口由一个单向阀,阀门的控制是由大气压和容积内的压差控制的,即 容积内压力大于大气压时,阀门关闭,容积内压力小于大气压时,气体进入容积,并且气体流速与大气压遵循一个关系式。关系式见附件。
关系式.jpg
 楼主| 发表于 2009-9-18 11:12:21 | 显示全部楼层
我自己刚编了一段,恳请大家指正!
#include <udf.h>
DEFINE_PROFILE(air_velocity,thread,position)
{
face_t f;
real P_0=0;
real P_C;
real deltp=P_C-P_0;
real r;
real zeta;
begin_f_loop(f, thread)
{
  P_C=F_P(f,t);
  if (p_C<p_0)
  vel=sqrt(2*deltp/(r*zeta));
  else
  vel=0;
  return vel;
}
end_f_loop(f, thread)
}
您需要登录后才可以回帖 登录 | 注册

本版积分规则

快速回复 返回顶部 返回列表