Home
个人中心
广告服务
使用帮助
关于我们
登录
注册
用户名
Email
自动登录
找回密码
密码
登录
注册
搜索
本版
用户
首页
Portal
前沿
动态
人物
会议
工具
论坛
BBS
家园
Space
好友
帖子
收藏
道具
勋章
任务
淘帖
导读
设置
退出
流体中文网
»
论坛
›
软件学习
›
Fluent论坛
›
求助:以空气作为流体时多孔介质参数的设置
返回列表
查看:
1670
|
回复:
2
求助:以空气作为流体时多孔介质参数的设置
[复制链接]
chenbinbin
chenbinbin
当前离线
积分
933
IP卡
狗仔卡
发表于 2015-10-29 09:18:23
|
显示全部楼层
|
阅读模式
马上注册,结交更多好友,享用更多功能,让你轻松玩转社区。
您需要
登录
才可以下载或查看,没有账号?
注册
x
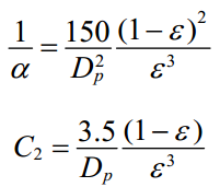
多孔介质参数设置中的粘性阻力系数与惯性阻力系数怎么设置,查了不少资料,说用经验公式计算,那么经验公式中的Dp平均颗粒直径是多少,本人初学fluent望多指教。
经验公式
回复
使用道具
举报
提升卡
置顶卡
沉默卡
喧嚣卡
变色卡
显身卡
a2883524
a2883524
当前离线
积分
2136
IP卡
狗仔卡
发表于 2015-10-31 23:40:26
|
显示全部楼层
你的多孔介质是什么?粒径多少或者说粒径分布是什么?
难道不是粒状堆积?
回复
支持
反对
使用道具
举报
显身卡
malasong9471
malasong9471
当前离线
积分
64
IP卡
狗仔卡
发表于 2016-10-22 16:51:53
|
显示全部楼层
平均粒径是固体颗粒的粒径,查阅文献作为参考
回复
支持
反对
使用道具
举报
显身卡
返回列表
高级模式
B
Color
Image
Link
Quote
Code
Smilies
您需要登录后才可以回帖
登录
|
注册
本版积分规则
发表回复
回帖后跳转到最后一页
浏览过的版块
CFD可信度开放式专题研究活动
NUMECA论坛
HPC论坛
交通流论坛
船舶与海洋工程论坛
CAD/CAE软件综合论坛
茶余饭后
UDF专题讨论区
动网格讨论区
快速回复
返回顶部
返回列表