找回密码
 注册
查看: 6593|回复: 16

请教:多孔介质算例

[复制链接]
发表于 2009-4-18 17:14:11 | 显示全部楼层 |阅读模式

马上注册,结交更多好友,享用更多功能,让你轻松玩转社区。

您需要 登录 才可以下载或查看,没有账号?注册

x
因为工作需要,开始学fluent,之前是没接触过任何流体相关的知识,所以很茫然,完全摸不着头脑...主要是要解决汽车排气的问题,以下是问题的描述,希望各位能帮一下忙,谢谢。
    一氧化氮等混合气体(种类以及比例已知)从左边进入,通过多孔介质后排出(图中横线部分为多孔介质区域,A-A为多孔介质截面图),不考虑化学反应,主要研究压力和温度,出入口的温度、压力可测。


图片1.png 图片2.png
       我只知道大概的步骤,但具体的像网格划分、边界条件、参数设置遇到很多问题,能帮忙做一下类似的算例模拟,详细的解说一下吗?我的QQ:553868534,真的很需要帮助,在此先谢过了。
发表于 2009-4-23 09:11:07 | 显示全部楼层
其实fluent算的根本不是很准确,因为多孔介质的一些特性参数不知道,需要通过实验来修正,并不断积累经验。最后计算结果才可行,要不然fluent算出来的结果可信度很难达到要求
发表于 2009-4-25 10:28:29 | 显示全部楼层

呵呵

是啊  这个问题的特性参数怎么设置   我用的是PHOENICS        根你的问题差不多
 楼主| 发表于 2009-5-3 20:26:09 | 显示全部楼层
持续烦恼着呢...唉,面对那一大堆参数,越来越无从下手了呢...
发表于 2009-5-4 08:31:17 | 显示全部楼层
如果是在企业,可以让单位出点钱找外单位做个标准案例,然后你就可以按照这个做了。
其实不考虑surface reaction单纯算流动,这个不是很难,一般排气系统是蜂窝状的多孔介质。你可以根据参数大致算一下reynolds number是多少,判断honeybomb内流动是层流还是湍流,然后根据相关公式计算多孔介质阻抗系数。
 楼主| 发表于 2009-5-4 23:11:51 | 显示全部楼层
谢谢~
发表于 2009-5-6 15:46:27 | 显示全部楼层

呵呵

具体怎么算啊  老兄   你给的那个算例在PHOENICS 中怎么打开啊
发表于 2009-5-6 15:48:05 | 显示全部楼层

多孔介质阻抗系数

多孔介质阻抗系数适合 不适合计算膜的选择性和渗透性啊 老兄
发表于 2009-5-6 15:50:45 | 显示全部楼层

多孔介质阻抗系数

多孔介质阻抗系数适合 不适合计算膜的选择性和渗透性啊 老兄
 楼主| 发表于 2009-5-8 19:11:40 | 显示全部楼层
模拟速度和压降特性均为已知的薄膜用多孔介质阶跃吧,我也是探索阶段,不大清楚啊...
发表于 2009-5-13 08:59:18 | 显示全部楼层
楼主解决了没有啊?共同的讨论一下!
发表于 2009-5-13 10:48:29 | 显示全部楼层
我的课题与这个很类似
多孔介质部分搞不定
模型老是出错
有没有关于多孔介质的参考书,给介绍一下
发表于 2009-5-13 12:02:27 | 显示全部楼层
其实单纯多孔介质还是比较简单的,但是如果涉及多孔介质和流体传热传质甚至是surface reaction就比较复杂了。
如果采用商用软件,关于多孔介质最好还是看各个软件的帮助。
发表于 2009-5-15 17:45:18 | 显示全部楼层
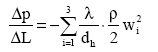
对于honeybomb的三元催化,我记得曾经在论坛上回过一个帖子,不过现在找不到了。我翻了一下以前的case,给出一种做法。

Picture1.png
一般厂商会提供honeybomb的cell density N,所以repeat distance s就等于1/sqrt(N)., 此时请注意N的单位是按英寸算的还是其他单位. 同样孔隙率OFA一般也会给出来, OFA=(s-delta)**2/s**2,  delta为总体壁厚. 这样可以确定delta数值.然后你可以根据体积流量和截面积,孔隙率确定实际流速,从而求得孔(s-delta)内的雷诺数.判断流动属于层流还是湍流, 如果是层流, 流体区域在选定porous zone的同时选择laminar zone,  如果你有阻力系数的值那就直接给定, 如果没有, 可以根据 Picture2.png   Picture3.png 来给定粘性阻力系数,惯性阻力系数则为0. 至于湍流,下次再给出方案.
发表于 2009-5-15 21:36:35 | 显示全部楼层
楼上的我做的湍流,怎么设置啊!!
您需要登录后才可以回帖 登录 | 注册

本版积分规则

快速回复 返回顶部 返回列表