Home
个人中心
广告服务
使用帮助
关于我们
登录
注册
用户名
Email
自动登录
找回密码
密码
登录
注册
搜索
本版
用户
首页
Portal
前沿
动态
人物
会议
工具
论坛
BBS
家园
Space
好友
帖子
收藏
道具
勋章
任务
淘帖
导读
设置
退出
流体中文网
»
论坛
›
工程应用
›
航空航天论坛
›
咨询一个关于拉伐尔喷管的问题。
返回列表
查看:
5276
|
回复:
9
咨询一个关于拉伐尔喷管的问题。
[复制链接]
左翼萝卜
左翼萝卜
当前离线
积分
12
IP卡
狗仔卡
发表于 2010-8-19 15:25:12
|
显示全部楼层
|
阅读模式
马上注册,结交更多好友,享用更多功能,让你轻松玩转社区。
您需要
登录
才可以下载或查看,没有账号?
注册
x
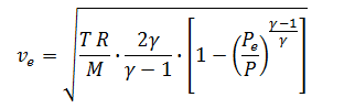
我们知道,拉伐尔喷管出口的气体流速方程如下:
其中ve为喷管出口气体速度(m/s);T为喷管入口气体绝对温度(K);R为理想气体常数,8314.5J/(kmol•K);M为气体分子量(kg/kmol);γ为气体比热比;Pe为喷管出口气体压强(Pa);P为喷管入口气体压强(Pa)。
那么这个Pe怎么求呢?
回复
使用道具
举报
提升卡
置顶卡
沉默卡
喧嚣卡
变色卡
显身卡
henge1
henge1
当前离线
积分
16
IP卡
狗仔卡
发表于 2010-8-19 20:19:12
|
显示全部楼层
支持一下!!!
登录/注册后可看大图
书通网
书仪网
书村网
网学园
小说
好书
健康
霸上小小小丫头全文阅读
天价宝宝之老公太霸道全文免费阅读
调皮公主三胞胎全文免费阅读
三个宝宝de坏蛋爹地全文免费阅读
万妖之祖全文免费阅读
万妖之祖全文免费阅读
足坛教父全文免费阅读
争隋全文免费阅读
血魂1937全文免费阅读
网游之修道歧路全文免费阅读
重生方寸山全文免费阅读
网游之神迹游侠全文免费阅读
重生记事簿全文免费阅读
重生记事簿全文免费阅读
大明孤狼全文免费阅读
回复
支持
反对
使用道具
举报
显身卡
andy1925
andy1925
当前离线
积分
10
IP卡
狗仔卡
发表于 2010-10-8 14:37:12
|
显示全部楼层
看看王新月的《气体动力学基础》,应该可以解决
回复
支持
反对
使用道具
举报
显身卡
emuch
emuch
当前离线
积分
10009
IP卡
狗仔卡
发表于 2010-10-25 01:00:38
|
显示全部楼层
Pe应该是已知条件吧,呵呵
回复
支持
反对
使用道具
举报
显身卡
wlzs10
wlzs10
当前离线
积分
22
IP卡
狗仔卡
发表于 2010-11-5 22:40:21
|
显示全部楼层
气体动力学哪里有下载的?
有的话给我发一个呀
wlzs11@163.com
回复
支持
反对
使用道具
举报
显身卡
通流
通流
当前离线
积分
9081
IP卡
狗仔卡
发表于 2010-11-6 19:54:14
|
显示全部楼层
到水松寿斑竹那里下载吧。
回复
支持
反对
使用道具
举报
显身卡
martlet21
martlet21
当前离线
积分
30
IP卡
狗仔卡
发表于 2010-11-14 23:49:26
|
显示全部楼层
Pe应该是已知的,和外界(所接触的)压强一样吧
回复
支持
反对
使用道具
举报
显身卡
bys3015
bys3015
当前离线
积分
84
IP卡
狗仔卡
发表于 2011-4-18 11:41:35
|
显示全部楼层
一般是已知的
回复
支持
反对
使用道具
举报
显身卡
通流
通流
当前离线
积分
9081
IP卡
狗仔卡
发表于 2011-4-20 17:54:36
|
显示全部楼层
亚音,和超音,情况很不同。亚音的话,Pe就是环境压力,超音的话,跟环境压力没有关系,只跟几何形状有关。
回复
支持
反对
使用道具
举报
显身卡
金枪鱼
金枪鱼
当前离线
积分
222
IP卡
狗仔卡
发表于 2011-4-20 18:19:14
|
显示全部楼层
如果是超音的话,出口压强由喷管面积比确定了,如果跟环境压强不等,会发生激波或膨胀波
回复
支持
反对
使用道具
举报
显身卡
返回列表
高级模式
B
Color
Image
Link
Quote
Code
Smilies
您需要登录后才可以回帖
登录
|
注册
本版积分规则
发表回复
回帖后跳转到最后一页
浏览过的版块
多相流论坛
流体力学基础
燃烧论坛
Fluent论坛
茶余饭后
快速回复
返回顶部
返回列表