找回密码
 注册
楼主: fluentbs2012

高压气体射流

[复制链接]
 楼主| 发表于 2012-8-13 12:36:55 | 显示全部楼层
请教一下,无反射边界条件是pressure-far-field吗?是不是不能和两相流vof一起用?

[ 本帖最后由 fluentbs2012 于 2012-8-19 19:29 编辑 ]
发表于 2012-8-13 21:08:51 | 显示全部楼层
原帖由 fluentbs2012 于 2012-7-30 08:54 发表
没人欠我的,我只是抱着一腔热血注册本论坛,想和大家讨论问题,向大家学习。这几天来,觉得论坛讨论问题不是很热烈,看看这个论坛的帖子,绝大部分的查看次数达到100以上,可是回复的次数大多是几次而已,那讨论问题 ...


问问题前多思考思考。这毕竟是论坛,不是实时交流工具,也许看你帖子的人有事情在忙着呢。
 楼主| 发表于 2012-8-13 22:44:18 | 显示全部楼层

回复 18# Jasonluo 的帖子

那烦劳您们忙着吧!
发表于 2012-8-14 07:26:20 | 显示全部楼层
原帖由 fluentbs2012 于 2012-8-13 22:44 发表
那烦劳您们忙着吧!

这不是请教人应有的态度啊,楼主!你这样,浪子大哥和版主肯定不会应助你啊
发表于 2012-8-14 08:38:05 | 显示全部楼层
弄个72B的空文件夹传上来,还理直气壮的说别人不配合,就这么发帖,第三百次发帖又能如何,人家想配合你也得有这个机会啊。
发表于 2012-8-14 08:49:56 | 显示全部楼层
原帖由 浪子轻狂 于 2012-8-14 08:38 发表
弄个72B的空文件夹传上来,还理直气壮的说别人不配合,就这么发帖,第三百次发帖又能如何,人家想配合你也得有这个机会啊。

9494!
 楼主| 发表于 2012-8-14 16:33:49 | 显示全部楼层

回复 21# 浪子轻狂 的帖子

这个附件确实是发错了,不好意思,尽快更换。
 楼主| 发表于 2012-8-14 16:50:17 | 显示全部楼层

回复 22# 5超7 的帖子

原来的附件是我弄错了,不过已经有人下载了,也不说一声。。。
已经更换附件了。
我承认态度有些不好,不过讨论问题的确不是热烈,大家都只来看看,不发表任何意见,那论坛不久失去它的真正作用了吗?
发表于 2012-8-14 18:40:44 | 显示全部楼层
现在的年轻人,明明是求人家, 还要搞得趾高气扬. 要撒泼回家去向你父母撒.
别把这里的同行不当人看,看看论坛究竟是少了斑竹还是少了你就不办了?
发表于 2012-8-14 20:47:32 | 显示全部楼层
原帖由 fluentbs2012 于 2012-8-14 16:50 发表
原来的附件是我弄错了,不过已经有人下载了,也不说一声。。。
已经更换附件了。
我承认态度有些不好,不过讨论问题的确不是热烈,大家都只来看看,不发表任何意见,那论坛不久失去它的真正作用了吗?

你上论坛提问,人家没有理由一定要回答你啊!看到你的帖子,大家很多人都不会,如果回复你我不会,这样也没什么意思啊。。。你态度不好,就算人家会的,也不想应助你呢!更何况你原先附件都发错,这有点不合思议。。。你的问题我没有算过,不敢说什么,所以没有回复应助的帖子。。。离散相和燃烧的帖子,我知道的会发表一下自己的观点的。
 楼主| 发表于 2012-8-14 21:23:25 | 显示全部楼层

回复 25# ustcsunl 的帖子

没有不把你当人看!
前面曾讲到“向各位流体专家请教”。
不管没谁,论坛肯定都会照办。
不管论坛办不办,问题都会解决!
发表于 2012-8-15 07:39:35 | 显示全部楼层
以前做过一些相关案例,看了下case,感觉楼主有几个地方设置欠妥,本来想讨论一下的,现在看来没有必要了。我不是流体专家,可不敢吭声了。等着专家来答疑吧,专家不来也没关系,楼主也能自己解决的。

[ 本帖最后由 浪子轻狂 于 2012-8-14 23:44 编辑 ]
 楼主| 发表于 2012-8-15 09:37:01 | 显示全部楼层

回复 28# 浪子轻狂 的帖子

ustcsunl说“不把同行当人看”,我不是学流体力学的,尊称各位为流体专家,并不是ustcsunl所说的不把同行当人看,称呼各位为专家也有错吗?
 楼主| 发表于 2012-8-15 09:41:45 | 显示全部楼层
我承认发帖时态度有些不好,过于急切想解决问题,附件也出现问题,特向各位道歉,希望各位见谅包涵。
为了能对射流问题有一更深入的理解,使这类问题的模拟能更加准确,请各位赐教。
 楼主| 发表于 2012-8-15 13:05:23 | 显示全部楼层

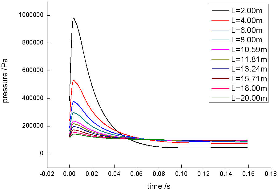
计算结果

airjet-model1的计算结果,各位有兴趣的话,请指正

[ 本帖最后由 fluentbs2012 于 2012-8-15 13:09 编辑 ]

phase

phase

press

press

velocity

velocity

压力-时间曲线

压力-时间曲线

压力-距离曲线

压力-距离曲线
您需要登录后才可以回帖 登录 | 注册

本版积分规则

快速回复 返回顶部 返回列表